Brazil is a key player in global food supply, ecosystem services, and biodiversity conservation. The country is the globe’s third-largest agricultural producer and its largest net exporter of food (FAO, 2016). Tailored policies in financial services can contribute to modernizing and intensifying agriculture, leading to a more effective management of natural resources. Improvements in the rural credit policy can significantly contribute to the country’s objectives of increasing agricultural production while simultaneously becoming more sustainable.
Brazil’s abundance of already cleared lands provides an opportunity for the nation to expand agricultural production without further deforestation. If Brazil pursued its crop potential on already available lands – promoting conversion of pasture to cropland and increasing productivity – the nation’s total production could nearly double without any further deforestation (i.e., without area expansion) (Antonaccio et al., 2018). Yet, to realize this potential, substantial capital expenditures and operational costs are required.
Since the 1960s, rural credit has been Brazil’s primary agricultural policy. In 2019/20 the credit amount corresponds approximately to 30% of the country’s total agricultural production in 2019, R$ 631 billion (MAPA, 2020). This sizable policy has great potential to serve as a mechanism for aligning Brazil’s agricultural policy with its sustainability goals.
Recent research finds that Brazil can increase crop production by 79-105% and beef production by 27% without deforestation (Assunção and Bragança, 2019). However, to achieve significant gains in agricultural productivity, farmers will need to invest considerable resources to modernize their operations by purchasing farm equipment and spending more in fertilizer. Another recent study finds that rural credit alleviates producers’ constraints, increasing both labor and land productivity and leading to intensified production and reduced pressures on deforestation (Assunção, Fernandes, Mikio and Souza, 2020). The productivity gains and the improvements in land use are found to be especially pronounced for credit directed to small farmers.
Government subsidies should foster the provision of public goods. Aligning the public financing of rural credit with environmental objectives reinforces the relationship between agriculture and forest protection and provides the economic justification for the government to direct resources to the agricultural sector.
The interdependence of the Brazil’s agricultural sector and its forests is critical, and the delicate balance between the two must be pursued. In addition to the forests’ role in mitigating climate change and sustaining biodiversity, they are a key determinant of Brazil’s weather, especially for the rainfall patterns that are so important for crop production.
Brazil’s environmental protection can boost the country’s economic success. As national and international concerns regarding forest conservation, climate change, and catastrophe risks increase, the expectation that Brazil will protect its environmental resources has grown as a central facet of international trade agreement negotiations, directly affecting Brazilian exports.
In this report, researchers from Climate Policy Initiative/Pontifical Catholic University of Rio de Janeiro (CPI/PUC-Rio) provide an in-depth analysis of Brazilian rural credit policy and discuss challenges and recent progress in public policy. The analysis benefits from years of research and discussions with policymakers, the private sector, and academic researchers. This report is organized in five chapters.
Chapter 1 discusses the relationship among agricultural production, deforestation, and the need for effective finance. Land use in Brazil has become more e!cient over time. Despite more recent trends, Brazil has made considerable e”orts to reduce deforestation. After peaking at more than 27,000 km2, there was an 80%3 decrease in deforestation rates in the Amazon between 2004 and 2012 at the same time that the GDP of the agricultural sector of the region increased by 12.4%.4 Recent research shows that the intensification of Brazilian agriculture is linked to the conversion of low-productivity pastureland to cropland and an associated reduction in deforestation pressures. Therefore, modernization has allowed the country to increase its agricultural production while decreasing the area expansion that leads to deforestation. If public policies and practices are further improved and better articulated to provide farmers with appropriate financial tools, these trends of intensification can be reinforced.
Chapter 2 examines the structure of the rural credit system, looking into the fragmentation of financing rules and the credit distribution channels. A multitude of rural credit funding sources and programs create a complex rural credit system for producers to navigate. There is a wide range of funding sources and programs, each with separate terms and conditions for providing credit to producers. The numbers change almost every year due to the creation and elimination of credit lines, but for the 2020/21 agricultural year, there are still 16 funding sources and 12 programs (Banco Central do Brasil, 2020a). With banks and other financial institutions unevenly distributed throughout the country, this crowded field of funding sources and programs hinders producers in making financial decisions. The fragmentation of rural credit rules by geographical location, farm size, and farm revenues creates additional artificial variation in the availability of funds and loan conditions, which generates distortions and inefficiencies. The analysis brings relevant insight for public policy. A simplification of programs and funding sources can improve the efficiency of the rural credit system. Increasing transparency and reducing political interference in public policy can reduce distortions and increase efficiency.
Also, the reduction of excessive restrictions on the use of funds would allow producers to make a better allocation of resources. Besides that, expanding the rural credit planning horizon can make financing conditions more predictable for producers, helping with production decisions. Finally, encouraging the expansion of private sector participation in rural credit can stimulate competition and generate innovation in the rural financial sector.
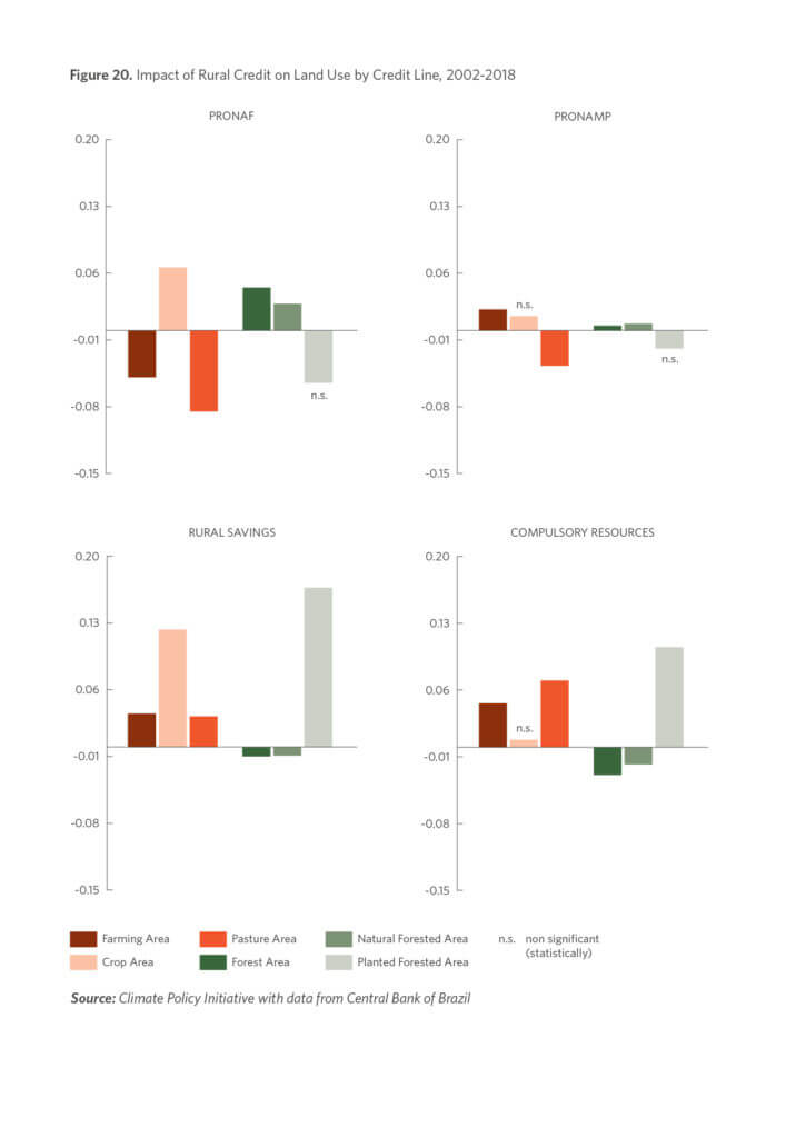
Chapter 3 presents the impact of rural credit on the real economy, land use, and deforestation. It discusses the results of Assunção, Fernandes, Mikio and Souza (2020), a CPI/PUC-Rio paper in partnership with the Central Bank of Brazil (Banco Central do Brasil) that show evidence that an increase in rural credit lending leads to improvements in both land productivity and labor productivity. In terms of land use, an increase in rural credit leads to an expansion of crop area and a decrease in pasture area, with a positive impact on forested areas (reduced deforestation). Overall, the evidence suggests that credit restrictions modify production decisions and lead to inefficiencies in production. Rural credit fosters productive advances, places a ceiling on agricultural area expansion, and gives priority to productivity gains. When the analysis is disaggregated by credit lines, types of producer, and types of credit, it becomes clear that these impacts of greater agriculture intensification and improved land use are more profoundly associated with credit directed to small farmers.
Chapter 4 examines Brazil’s experience with credit and sustainability, including the ABC Plan and the alignment of credit with environmental protection. This chapter discusses the integration of public goods and rural credit subsidies. First, it provides an overview of the strengths and implementation difficulties of the Agricultural Sector Plan for Climate Change Mitigation and Adaptation for the Consolidation of a Low-Carbon Economy (Plano Setorial de Mitigação e de Adaptação às Mudanças Climáticas para a Consolidação de uma Economia de Baixa Emissão de Carbono na Agricultura – ABC Plan). It also discusses potential routes for its improvement. Second, the report shows that the idea of using credit instruments to foster the protection of natural assets is not new to Brazil. In 2008, Resolution 3,545 from the National Monetary Council (Conselho Monetário Nacional – CMN) conditioned rural credit lending in municipalities in the Amazon biome on compliance with environmental rules and proven legitimacy of property titles. Assunção et al. (2019) calculate this resolution led to a 15% reduction in deforestation during the 2008-2011 period, suggesting that rural credit can be an effective tool for promoting conservation in Brazil. Two other CMN’s resolutions (4,106/2012 and 4,226/2013) established an increase in credit limit related to the rural properties’ environmental conditions. These are innovative and effective examples of combining credit provision with environmental features.
Chapter 5 discusses the important steps the Brazilian banking system is taking towards a better alignment between finance and sustainable practices. The 2020/21 Agricultural Plan (Plano Safra) included an increase of up to 10% in the working capital credit limit for producers who submit a validated Rural Environmental Registry (Cadastro Ambiental Rural – CAR), which is a first move for compliance with the Forest Code. Another important measure was to allow financing for the acquisition of Environmental Reserve Quotas (Cotas de Reserva Ambiental – CRA). In September 2020, the Central Bank of Brazil launched the Sustainability dimension of its Agenda BC#. Two initiatives should be highlighted: 1) the announcement of the “Green Bureau”, which will be associated with the rural credit information system and contain information on farmers’ sustainable practices; 2) the intention to boost incentives to move rural credit in a green direction. In this line, the Central Bank of Brazil signaled the possibility of continuing to increase contracting limits for rural credit operations that meet sustainability characteristics by up to 20% (Banco Central, 2020b). Potential next steps to advance this agenda are discussed in this chapter.
The Brazilian government has the opportunity to leverage current policies and ensure they become more efficient and meet relevant objectives. Improved access to rural credit enables farmers, especially small ones, to increase agricultural productivity, relieving the pressures driving deforestation. The current tight fiscal regime and declining interest rates imply that subsidies tend to decrease at the aggregate level. Therefore, it is important to target resources for maximizing their impact on Brazilian agriculture sector and meet socially desirable objectives.
